xn和x2n的极限一样吗
【xn和x2n的极限一样吗】xn和x2n的极限一样 。xn和x2n的极限都是a,极限是微积分中的基础概念,它指的是变量在一定的变化过程中,从总的来说逐渐稳定的这样一种变化趋势以及所趋向的值(极限值) 。极限的概念最终由柯西和魏尔斯特拉斯等人严格阐述 。在现代的数学分析教科书中,几乎所有基本概念(连续、微分、积分)都是建立在极限概念的基础之上 。

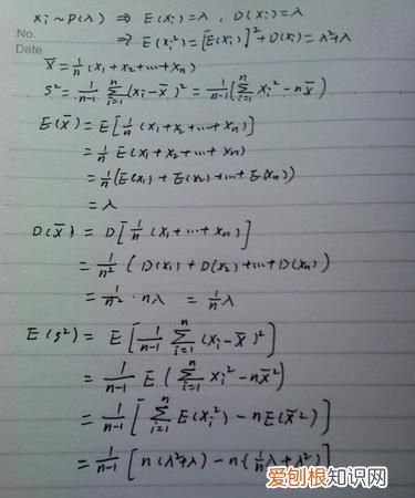
文章插图
推荐阅读
- 水印相机要怎样更改时间,水印相机怎么修改时间和日期
- 体验服怎么玩无限火力,王者荣耀无限火力玩法攻略
- 白色羊毛衫发黄怎么洗,白色羊毛衫发黄怎么洗白
- 安和晚安的区别在哪,晚安和安的区别哪个更亲切更好
- 什么是can总线以及can总线的特点
- 诺贝松的寓意
- 床头必须靠窗户怎么办
- 智利车厘子jd是什么等级,智利进口j级车厘子是什么意思
- 治疗痛风的中药泡茶喝
