
文章插图
文末领取【旅游行业数据报告】
1
相关系数
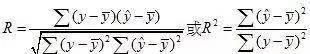
1. 相关系数的概念
著名统计学家卡尔·皮尔逊设计了统计指标——相关系数(Correlation coefficient) 。相关系数是用以反映变量之间相关关系密切程度的统计指标 。相关系数是按积差方法计算 , 同样以两变量与各自平均值的离差为基础 , 通过两个离差相乘来反映两变量之间相关程度;着重研究线性的单相关系数 。依据相关现象之间的不同特征 , 其统计指标的名称有所不同 。如将反映两变量间线性相关关系的统计指标称为相关系数(相关系数的平方称为判定系数);将反映两变量间曲线相关关系的统计指标称为非线性相关系数、非线性判定系数;将反映多元线性相关关系的统计指标称为复相关系数、复判定系数等 。相关系数的计算公式为:

文章插图
复相关系数(multiple correlation coefficient):反映一个因变量与一组自变量(两个或两个以上)之间相关程度的指标 。它是包含所有变量在内的相关系数 。它可利用单相关系数和偏相关系数求得 。其计算公式为:

文章插图
当只有两个变量时 , 复相关系数就等于单相关系数 。Excel中的相关系数工具是单相关系数 。
2. 相关系数工具的使用
CORREL 和 PEARSON 工作表函数均可计算两个测量值变量之间的相关系数 , 条件是每种变量的测量值都是对 N 个对象进行观测所得到的 。(丢失任何对象的任何观测值都会导致在分析中忽略该对象 。)相关系数分析工具特别适合于当 N 个对象中的每个对象都有两个以上的测量值变量的情况 。它提供一张输出表(相关矩阵) , 其中显示了应用于每个可能的测量值变量对的 CORREL(或 PEARSON)值 。
与协方差一样 , 相关系数是描述两个测量值变量之间的离散程度的指标 。与协方差的不同之处在于 , 相关系数是成比例的 , 因此它的值与这两个测量值变量的表示单位无关 。(例如 , 如果两个测量值变量为重量和高度 , 当重量单位从磅换算成千克时 , 相关系数的值并不改变 。)任何相关系数的值都必须介于 -1 和 +1 之间(包括 -1 和 +1) 。
可以使用相关系数分析工具来检验每对测量值变量 , 以便确定两个测量值变量是否趋向于同时变动 , 即 , 一个变量的较大值是否趋向于与另一个变量的较大值相关联(正相关);或者一个变量的较小值是否趋向于与另一个变量的较大值相关联(负相关);或者两个变量的值趋向于互不关联(相关系数近似于零) 。
例:9个小麦品种(分别用A1,A2,...,A9表示)的6个性状资料见表 , 作相关系数计算 。

文章插图
试验数据
(1)建立一张工作表 , 输入数据:

文章插图
(2)从“数据”选项卡选择“数据分析” , 从“数据分析”列表框中选择“相关系数” , 单击“确定”弹出相关系数对话框 。

文章插图
数据区域可包括变量名称 , 但不包括样本编号 。每个变量的样本按行排列的选择“逐行”按列排列的选择“逐列” 。若包括变量名称 , 则选择“标志位于第一列”
推荐阅读
- 倒数日要如何才能在桌面显示,oppo手机倒数日怎么添加到桌面
- ps模糊边缘,ps怎么模糊边缘
- 王者荣耀恋人关系如何解除,怎么在王者荣耀解除恋人关系
- 微信红包怎么追回,怎么在微信连发0个红包
- 怎么在word插入虚线,word里面怎么添加虚线边框符号
- 弘扬中华优秀传统文化要立足于什么
- 皮卡堂怎么抓宠物,皮卡堂伐木森林怎么打怪
- 在PS怎么添加图层蒙版,ps图层蒙版如何添加样式
- 牛剖层革是什么意思,牛剖层移膜革是什么意思
