96×8等于几
96×8等于768 。乘法 , 是指将相同的数加起来的快捷方式 。其运算结果称为积 , x是乘号 。从哲学角度解析 , 乘法是加法的量变导致的质变结果 。整数(包括负数) , 有理数(分数)和实数的乘法由这个基本定义的系统泛化来定义 。乘法也可以被视为计算排列在矩形(整数)中的对象或查找其边长度给定的矩形的区域 。矩形的区域不取决于首先测量哪一侧 , 这说明了交换属性 。两种测量的产物是一种新型的测量 , 例如 , 将矩形的两边的长度相乘给出其面积 , 这是尺寸分析的主题 。

文章插图
几乘以几等于48几乘以几等于48?答:2Ⅹ24=48 , 4X12=48 , 8x6=48 , 3X16=48 , 96ⅩO , 5=48 , 如果没有其它条件 , 答案边很多 。48X3=144那么144x1/3=48 , 按这个路还有很多答案 , 48X4=192 , 192X1/4=48 。这是数学 , 也可以看成数字游戏 。把数字玩好也不很容易了 。只有工夫深 , 铁拌磨成针 , 没问题的 。
3ⅹ十8X6=96解方程方程3x+8×6=96的解是:x=16
方程左边等于3x加四十八,方程的右边等于九十六 。方程两边同时减去四十八 , 那么方程的左边就等于3x , 方程的右边等于九十六减去四十八 , 等于四十八 。方程的右边再同时除以三 , 方程左边就等于x , 方程的右边等于四十八除以三 , 等于十六 。所以x等于十六 。
所以方程3x+8×6=96的解是:x=16
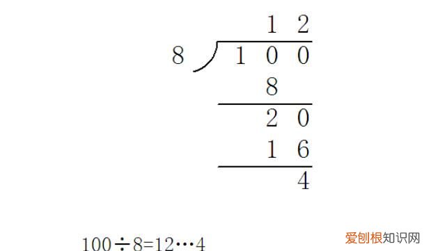
100除以8的竖式怎么列

文章插图
1、把100除以8按照竖式计算的格式写好 。
2、从最高位开始除起 , 但是由于百位的1不够8除 , 所以百位上是0 , 不计数 。进入下一数位的计算 。
3、十位上:10÷8=1···2 , 即十位的得数是1 , 有余数2 , 2跟个位的0合成20 , 并入到个位的除法计算 。
4、个位上:20÷8=2···4 , 即个位的得数是2 , 余数是4 , 无法整除 。即:100÷8=12···4
验算:

文章插图
1、商12与除数8相乘:12×8=96 。
2、余数4与乘积96相加:96+4=100 。即:12×8+4=100 , 与 100÷8=12···4 相符 , 计算无误 。
除法竖式怎么列?
“先从被除数的高位除起 , 除数有几位 , 就看被除数的前几位 , 如果不够除 , 就多看一位 。除到被除数的哪一位 , 就把商写在哪一位的上面 , 如果不够除 , 就在这一位上商0 。除得的余数必须比除数小 , 并在余数右边一位落下被除数在这一位上的数 。”
竖式计算
【96×8等于几,几乘以几等于48】竖式计算是指在计算过程中列一道竖式计算 , 使计算简便 。加法计算时相同数位对齐 , 若和超过10 , 则向前进1 。减法计算时相同数位对齐 , 若不够减 , 则向前一位借1当10 。
推荐阅读
- 龙利鱼做法宝宝辅食,龙利鱼鱼丸怎么做好吃
- 花甲死了多久不能吃
- qq应该咋样才能屏蔽临时会话
- 河南土特产有哪些产品
- 如何用无线路由器蹭网,怎样使用无线路由器蹭网
- 夏日冲浪店什么时候开始,夏日冲浪店王一博是哪一期在线观看
- 萌探探探案徐艺洋哪一期
- 2500公里做首保要多久,吉利首保一般要多长时间
- 海棠微雨共归途适合小学生看吗,海棠微雨共归途歌曲版权什么意思
