
文章插图
⑶ 上升、下落经过同一位置时的加速度相同,而速度等值反向
⑷ 上升、下落经过同一段位移的时间相等 。

文章插图

文章插图
注意:⑴ 匀速圆周运动的物体的向心力就是物体所受的合外力,总是指向圆心 。
⑵ 卫星绕地球、行星绕太阳作匀速圆周运动的向心力由万有引力提供 。
⑶ 氢原子核外电子绕原子核作匀速圆周运动的向心力由原子核对核外电子的库仑力提供 。
15 直线运动公式:匀速直线运动和初速度为零的匀加速直线运动的合运动
水平分运动: 水平位移:x= vot
水平分速度:vx= vo
竖直分运动: 竖直位移:y =1/2gt2
竖直分速度:vy= gt

文章插图
在Vo、Vy、V、X、y、t、q七个物理量中,如果已知其中任意两个,可根据以上公式求出其它五个物理量 。
16、 动量和冲量:动量:P = mV 冲量:I = Ft
17、 动量定理: 物体所受合外力的冲量等于它的动量的变化 。
公式:F合t = mv’ 一mv (解题时受力分析和正方向的规定是关键)
18、动量守恒定律:相互作用的物体系统,如果不受外力,或它们所受的外力之和为零,它们的总动量保持不变 。
研究对象:相互作用的两个物体或多个物体 。
公式:m1v1 + m2v2 = m1v1‘+ m2v2′或Dp1=一Dp2 或Dp1+Dp2=0
适用条件:
(1)系统不受外力作用 。
(2)系统受外力作用,但合外力为零 。
(3)系统受外力作用,合外力也不为零,但合外力远小于物体间的相互作用力 。
(4)系统在某一个方向的合外力为零,在这个方向的动量守恒 。
19、 功 : W = Fs cosq (适用于恒力的功的计算)
(1) 理解正功、零功、负功
(2)功是能量转化的量度
重力的功------量度------重力势能的变化
电场力的功-----量度------电势能的变化
分子力的功-----量度------分子势能的变化
合外力的功------量度-------动能的变化
20、动能和势能:

文章插图
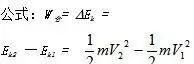
21、动能定理:外力对物体所做的功等于物体动能的变化(增量) 。

文章插图
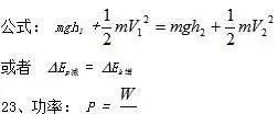
22、机械能守恒定律:机械能 = 动能+重力势能+弹性势能
条件:系统只有内部的重力或弹力做功.

文章插图
(在t时间内力对物体做功的平均功率)
P = FV (F为牵引力,不是合外力;V为即时速度时,P为即时功率;V为平均速度时,P为平均功率; P一定时,F与V成正比)
23、简谐振动:

文章插图
推荐阅读
- 酷狗听歌识别歌名在哪里,可以如何使用酷狗识别音乐
- 机智的上半场马亦然扮演者
- 理想之城苏筱夏明为什么分手,理想之城原著苏筱和夏明在一起没
- 神奇的构造图形法,分分钟破解数学难题
- 黑色的衣服被84漂变色了怎么还原
- 抖音卡顿是怎么回事,oppo手机看抖音卡顿怎么回事
- 龟山汉墓未解之谜,龟山汉墓墙上影子的未解之谜
- 微信能改微信号吗
- 微博网页版入口,微博热搜榜
