高中物理力学的学习,对公式、规律的掌握、应用非常重要,所以很有必要对相关公式、规律进行归纳总结,以下是对高中物理力学的相关公式、规律的归纳总结,供同学们学习参考 。
1、 胡克定律: F = Kx
(x为伸长量或压缩量,K为倔强系数,只与弹簧的原长、粗细和材料有关)
2、 重力:G = mg
(g随高度、纬度、地质结构而变化)
3、求F1、F2两个共点力的合力的公式:

文章插图

文章插图
注意:(1)力的合成和分解都均遵从平行四边行法则 。
(2)两个力的合力范围:ú F1-F2ú ≤ F≤ F1 +F2
(3)合力大小可以大于分力、也可以小于分力、也可以等于分力 。
4、两个平衡条件:
⑴ 共点力作用下物体的平衡条件:静止或匀速直线运动的物体,所受合外力为零 。
?F=0 或?Fx=0 ?Fy=0
推论:
① 非平行的三个力作用于物体而平衡,则这三个力一定共点 。
② 几个共点力作用于物体而平衡,其中任意几个力的合力与剩余几个力(一个力)的合力一定等值反向
③动轴物体的平衡条件:力矩代数和为零.
力矩:M=FL (L为力臂,是转动轴到力的作用线的垂直距离)
5、摩擦力的公式:
⑴ 滑动摩擦力:f=mN
说明:a、为接触面间的弹力,可以大于G;也可以等于G;也可以小于G
b、摩擦系数,只与接触面材料和粗糙程度有关,与接触面积大小、接触面相对运动快慢以及正压力N无关.
⑵ 静摩擦力: 由物体的平衡条件或牛顿第二定律求解,与正压力无关.
大小范围: 0≤f静≤ fm (fm为最大静摩擦力,与正压力有关)
说明:
【高中物理重要力学公式规律汇编】a 、摩擦力可以与运动方向相同,也可以与运动方向相反,还可以与运动方向成一定夹角 。
b、摩擦力可以作正功,也可以作负功,还可以不作功 。
c、摩擦力的方向与物体间相对运动的方向或相对运动趋势的方向相反 。
d、静止的物体可以受滑动摩擦力的作用,运动的物体可以受静摩擦力的作用 。
6、 浮力: F=rVg (注意单位)

文章插图
⑴ 适用条件
⑵G为万有引力恒量
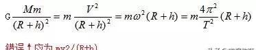
⑶ 在天体上的应用:(M一天体质量 R一天体半径 g一天体表面重力加速度)
a、万有引力=向心力

文章插图

文章插图
12、匀变速直线运动:
基本规律:Vt= V0+ a t S = vot + 1/2a t2
几个重要推论:
⑴ Vt2 - V02= 2as (匀加速直线运动:a为正值 匀减速直线运动:a为负值)

文章插图
⑷ 匀速:Vt/2=Vs/2 ;匀加速或匀减速直线运动:Vt/2<Vs/2
⑸ 初速为零的匀加速直线运动,在1s、s、3s…ns内的位移之比为:12:22:32……n2;
⑹ 在第1s 内、第 2s内、第3s内……第ns内的位移之比为1:3:5……(2n-1);
⑺ 在第1米内、第2米内、第3米内……第n米内的时间之比为

文章插图
⑻ 初速无论是否为零,匀变速直线运动的质点,在连续相邻的相等的时间间隔内的位移之差为一常数:Ds = aT2 (a一匀变速直线运动的加速度 T一每个时间间隔的时间)
13、竖直上抛运动:上升过程是匀减速直线运动,下落过程是匀加速直线运动 。全过程是初速度为VO、加速度为-g的匀减速直线运动 。
推荐阅读
- 酷狗听歌识别歌名在哪里,可以如何使用酷狗识别音乐
- 机智的上半场马亦然扮演者
- 理想之城苏筱夏明为什么分手,理想之城原著苏筱和夏明在一起没
- 神奇的构造图形法,分分钟破解数学难题
- 黑色的衣服被84漂变色了怎么还原
- 抖音卡顿是怎么回事,oppo手机看抖音卡顿怎么回事
- 龟山汉墓未解之谜,龟山汉墓墙上影子的未解之谜
- 微信能改微信号吗
- 微博网页版入口,微博热搜榜
