连续函数的原函数也连续吗
连续函数的原函数也连续,只要存在原函数,则原函数一定是可导函数,因此一定是连续的 。连续函数是指函数y=f(x)当自变量x的变化很小时,所引起的因变量y的变化也很小 。连续函数在直角坐标系中的图像是一条没有断裂的连续曲线 。由极限的性质可知,一个函数在某点连续的充要条件是它在该点左右都连续 。
连续函数的原函数一定连续吗无论什么样的函数,只要存在原函数,则原函数一定是可导函数,因此一定是连续的 。分段函数的话就分段积分得到的原函数也是分段的 。
【连续函数的原函数也连续,连续函数的原函数一定连续吗】原函数是指对于一个定义在某区间的已知函数f(x),如果存在可导函数F(x),使得在该区间内的任一点都存在dF(x)=f(x)dx,则在该区间内就称函数F(x)为函数f(x)的原函数 。
若函数f(x)在某区间上连续,则f(x)在该区间内必存在原函数,这是一个充分而不必要条件,也称为“原函数存在定理” 。
函数族F(x)+C(C为任一个常数)中的任一个函数一定是f(x)的原函数,
故若函数f(x)有原函数,那么其原函数为无穷多个 。

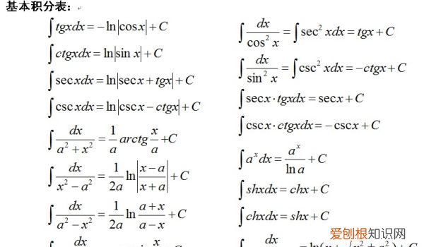
文章插图
扩展资料:
由于分段函数概念过广课本无法用文字明确给出分段函数的定义,故以更的实际例题的形式出现 。
已知函数f(x)= 求f(3)的值 。
解:由3∈(-∞,6),知f(3)=f(3+2)=f(5),
又5∈(-∞,6),所以f(5)=f(5+2)=f(7).
又由7∈[6,+∞)所以f(7)=7-2=5,因此,f(3)=5 。
求分段函数的函数值的方法:先确定要求值的自变量属于哪一段区间,然后按该段的表达式去求值,直到求出值为止 。
参考资料:
连续函数必有原函数这句话对吗对的 。
可导必连续 。导函数连续,则原函数可导,所以原函数连续 。
连续函数一定有原函数吗肯定连续 。
假设F(x)是f(x)的一个原函数,只要x在定义域内,必然有F'(x)=f(x);
既然F(x)可导,那么F(x)在定义域内处处连续 。
如:
f(x)=sin2x(x<=0),f(x)=ln(2x+1)(x>0)
F(x)=-1/2cos2x+C1(x<=0),F(x)=1/2*(2x+1)ln(2x+1)-x+C2;
因为F'(0)=f(0)=0;F(x)在x=0处连续,
所以F(0-)=F(0+)即C1-1/2=C2,令C1=C,则C2=C-1/2;
所以F(x)=-1/2cos2x+C(x<=0),F(x)=1/2*(2x+1)ln(2x+1)-x-1/2+C
如果fx连续则fx绝对值连续设F(x)是f(x)的一个原函数,那么在f(x)连续的区间内,F(x)必然也连续 。
因为根据原函数的定义,F(x)在区间内任何点处的导数都等于该点f(x)的值
即F'(x0)=f(x0)
所以在f(x)任何一个有定义的点x0处,F(x)都是可导的 。
而可导必然连续,所以f(x)有定义的区间,F(x)都必然连续 。
而f(x)连续的区间,必然有定义,所以F(x)也就必然连续可导了 。
以上就是关于连续函数的原函数也连续,连续函数的原函数一定连续吗的全部内容,以及连续函数的原函数也连续吗的相关内容,希望能够帮到您 。
推荐阅读
- 蘑菇应该怎么炒最好吃?
- 多吃什么食物可以补充铁?
- 用什么方法可以治疗哮喘?
- 鸡肉怎么做最好吃?
- 微信同步在哪里,微信同步助手在什么地方没有
- 常吃的年糕都是用什么做的?
- 高血压患者可以喝酒吗?
- 抖音极速版购物车在哪,抖音极速版有购物车功能吗
- 紫川与什么并称三部曲
