一元n次方程有几个根
一元n次方程有n个根,包括实根虚根 。一元n次方程,存在无实数解的情况 。如果有实数,那么n次方程就有n个实数根 。这n个实数根,可能互不相等,也可能相等 。
例如:
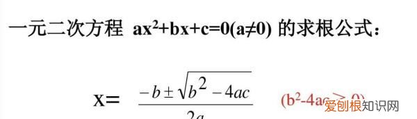
【一元n次方程有几个根】一元二次方程,如果判别式小于0,那就没有实数根 。如果判别式等于0,那就有2个相等的实数根;如果判别式大于0,那就有2个不相等的实数根 。
一元n次方程有几个根一元多次方程整数解的个数用求根公式进行解决 。
一元一次方程、一元二次方程、一元三次方程分别有一个根、二个根、三个根,它们都可以用代数解法来解,并且有求根公式 。
可以证明一元四次方程有四个根,并且可以用代数解法求解 。当n > 4时,根据伽罗华理论,一般形式的n次方程不能用代数解法来解 。

文章插图
一元n次方程的根的个数定理和推论:
一元n次方程至少有一个根,如果f (x )的次数大于1, 那么根据定理1可以知道,方程f (x) =0至少有一个根 。
设这个根是α,那么由于f(α) =0,根据因式定理可以知道,f(x)=(x-α)q(x),因为x-α和q (x)的次数都低于f(x)的次数,所以f(x)可约 。
例如,方程(x-2)3(x+1)2(x-1)=0有三重根2,二重根-1,単根1,因此,这个方程一共有6个根 。
一元n次方程的n个根之和是什么?一元n次方程的n个根之和是-a (n-1) 。
假设一元n次方程a0xn+a1xn-1+…+an=0(a0≠0)的n个解为y(i),其中i是从1到n的整数 。则有等式为(x-y(1))(x-y(2))…(x-y(n))=0,分解等式得x^(n-1)项的系数为-∑y(i)=a(n-1),则∑b(i)=-a(n-1) 。

文章插图
性质:
1、一元n次方程至少有一个根 。一元n次方程有n个根并且只有n个根 。
2、任何次数大于1的多项式都是可约的 。
3、一元一次方程、一元二次方程、一元三次方程分别有一个根、二个根、三个根,它们都可以用代数解法来解,并且有求根公式 。
为什么一元几次方程就有几个根请说说原理因为n次方程可表为
(x-x1)(x-x2)……(x-xn)=0
故有n个根
一元n次方程在不考虑重跟及复数根的前提下有n个根第一问有点看不明白,若重根和复数根都计数的话,一元n次方程必然有n个根,这是代数基本定理 。
一元三次方程除非是某些特殊的形式,否则没有什么因式分解的技巧 。或者可以观察出某一个解x=k,然后利用多项式除法,用原方程除以x-k得到剩余的二次多项式,最后对二次多项式进行因式分解 。
当然还可以用通用的一元三次方程的公式解法(可百度“卡尔丹公式”或“卡尔丹方法”)求出方程的三个根,自然就得到了因式分解的结果 。例如原方程ax3+bx2+cx+d=0的根为x1,2,3,那么其因式分解形式为:
a(x-x1)(x-x2)(x-x3)=0
以上就是关于一元n次方程有几个根的全部内容,以及一元n次方程有几个根的相关内容,希望能够帮到您 。
推荐阅读
- 原神勾勾果多久刷新一次
- 被称为万园之园的皇家园林是
- 魏碑笔法怎么切笔,方笔魏碑的代表作
- 竹节纱的主要分类有哪些
- 怎样安装鞋柜视频,鞋柜如何选购 鞋柜的选购小技巧
- 鹦鹉鱼和银龙能混养,鹦鹉鱼和银龙鱼一起混养怎么喂食
- 教资报名照片要求是什么 教资网上报名照片要求
- 晚上好短句 发朋友圈的句子晚上好短句
- 形容时间宝贵的诗句 关于珍惜时间的诗句
