积分器的单位冲激响应是什么
指外加激励为单位冲激信号时系统产生的零状态响应 。给冲激信号求积分其响应为单位阶跃信号,对其求微分的响应为冲激偶信号 。
冲激响应与系统的传递函数互为傅里叶变换关系 。在连续时间系统中,任一个信号可以分解为具有不同时延的冲激信号的叠加 。进行实际分析是,可通过电路分析法求解微分方程或采用解卷积的方法,计算出系统的冲激响应 。
冲激响应与阶跃响应有什么区别当激励为单位阶跃函数时,电路或者控制系统的零状态响应称为单位阶跃响应,简称阶跃响应 。单位阶跃函数即 f(t)=1, t≥0; f(t)=0, t<0 。matlab阶跃响应函数为step(G)而激励为冲击函数时,就叫做冲击响应 。冲击函数,f(t)=∞,t=0;f(t)=0, t≠0 。并且在(0-,0+)区间冲击函数f(t)的积分∫f(t)dt为1 。Matlab冲击响应函数为impulse(G)
冲激响应的积分为1怎么来的t!=0的时候?信号量恒为0?在t=0的时候?信号量为无穷大?但是信号在时间上的积分为1.
单位脉冲的拉氏变换脉冲信号在0≤t≤ε时等于1/ε(ε趋近于0)其余t的取值范围脉冲信号都为0,就不讨论了,根据拉氏变换方程得对1/ε乘e∧(-st)在0到ε进行积分,因为其他的t的取值上式方程都为0,对0积分等于0,而e∧(-st)在0到ε内恒等于1,可以把1/ε乘e∧(-st)看做1/ε乘1,方程就变成了对1/ε乘1在0到ε进行积分,而有脉冲信号的特性上式积分等于1/ε乘ε,所以单位脉冲信号的拉氏变换等于1 。
冲激偶信号的筛选特性是啥抽样性质
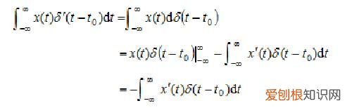
设为常规函数,其导数在处连续,则积分
?

文章插图
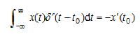
利用冲激函数的抽样性质,从上式得
?

文章插图
这是冲激偶信号的一个重要性质,称为的抽样性质 。
【积分器的单位冲激响应是什么】以上就是关于积分器的单位冲激响应是什么的全部内容,以及积分器的单位冲激响应是什么的相关内容,希望能够帮到您 。
推荐阅读
- 无证驾驶肇事逃逸怎么处罚新交规
- 台式机加装SSD固态硬盘方法
- 网易云怎么和别人一起听歌 网易云和别人一起听歌的方法
- 在做火锅店投资之前需要了解什么?
- 37岁本命年真的会不顺吗,朱砂佩戴禁忌本命年
- 蜜雪冰城加盟费多少钱?市场火爆,利润多
- 2022年白羊座解析,2022星座运势查询
- 快压怎么彻底删除 快压删除方法
- 属鼠的怕什么生肖,属鼠佩戴什么生肖好
